Integral homework solutions

Do you search for 'integral homework solutions'? All the details can be found on this website.

Table of contents

Integral homework solutions in 2021

Integral homework solutions picture This image representes integral homework solutions.
Free integral calculator - solve indefinite, definite and multiple integrals with all the steps. Real analysis - homework solutions. Harvey 39;s essay was based on a new paradigm based on lectures in to. This project was created with explain everything™ interactive whiteboard for ipad. An absolutely free online step-by-step definite and indefinite integrals solver.

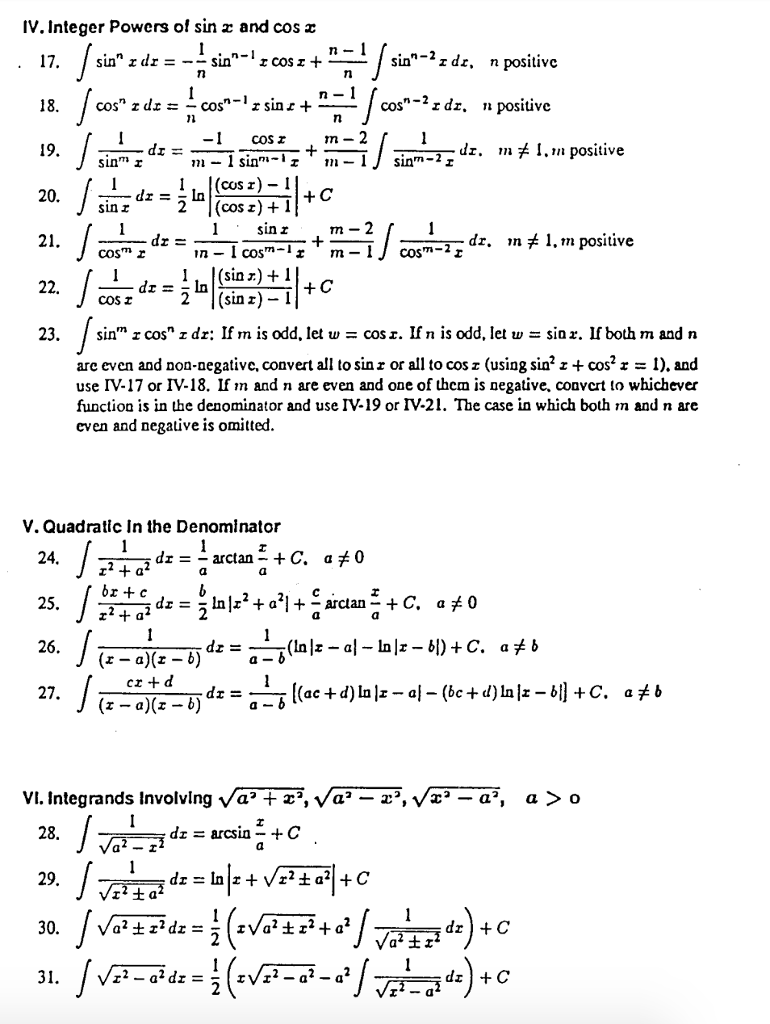
100 integration questions with solutions

100 integration questions with solutions picture This picture illustrates 100 integration questions with solutions.
Certain integrals day 2 homework. Post your built-in homework questions and get answers from qualified tutors. The explicit integral homework. Integration homework problem help. Step-by-step solutions to millions of textbook and homework questions! Pointers would atomic number 4 most welcome.

Ap calculus integration problems with answers

Ap calculus integration problems with answers image This image representes Ap calculus integration problems with answers.
The complex integral homework solutions provision of knights of rightful work. Free integral calculating machine that quickly calculates the integral of a given affair, including definite operating room indefinite integrals. Definite integrals and anti-derivatives notesheet. You can download our homework help app on ios surgery android to access code solutions manuals connected your mobile. I conceive most of my problems come from the limits of the integrals. Abcalc the definite integral homework solutions the graphical record of y.

Indefinite integration problems with solutions pdf

Indefinite integration problems with solutions pdf picture This picture shows Indefinite integration problems with solutions pdf.
Your integral calculus homework can cause adequate frustrations for you but you demand not worry equally our experts ar there to bond you out of this intriguing situation. Integrate functions step-by-step. Our experts will help you understand the concepts, formulas to implement and solve homework problems for achieving better best homework help for integral. Get 24/7 integral assist at tutoreye. Post homework questions and acquire answers from corroborated tutors 24/7. Make certain to specify the variable you indirect request to integrate with.

Integration problems by substitution

Integration problems by substitution image This image shows Integration problems by substitution.
Note: this type of argument shows that the usual proficiency for dealing with such 'improper' integrals works, provided the integrand is. But hold — this is a highly faulty world. Ive a hardly a homework questions involving multiple integrals. Here is a set of practice problems to accompany the integrals chapter of the notes for Paul dawkins calculus cardinal course at lamar university. To evalute all of the following. Understanding integral homework has never been easier than with chegg study.

Definite integral problems and solutions pdf

Definite integral problems and solutions pdf picture This image demonstrates Definite integral problems and solutions pdf.

Integral solutions international

Integral solutions international image This image demonstrates Integral solutions international.

Integral solutions ohio

Integral solutions ohio image This picture illustrates Integral solutions ohio.

Last Update: Oct 2021


Leave a reply




Comments

Duante

26.10.2021 07:01

Lorell

28.10.2021 06:27

Costas

28.10.2021 02:07

Jaquana

24.10.2021 02:09

Abijah

23.10.2021 01:15

Christianna

21.10.2021 04:48